A New Approach In Learning Mathematics |
|
By Mario deSantis, January 30, 1999 |
| The recent article "Math debate sparks spirited response" in The Star Phoenix, voices the concerns of the poor educational performance of our students. One parent, Sandra Gardiner of Aylesham, explains how much her daughter and her university classmates had to suffer for dropping out of their math courses, and with a feeling of powerlessness she states " It's really, really sad to realize that here in 1999 our education system is in utter chaos" One teacher, Lilian Leduc of Prince Albert, points to the heart of the problem by saying that "drill and rote learning alone, do not build understanding. It is better to learn some fundamental concepts which you can apply in varying situations". Business owner, Don Murray of Saskatoon, mentions the lack of accountability and competence as the main reasons for the poor state of our educational system. |
| The above comments on the state of our educational system is further evidence(1) to support the need for sweeping and immediate changes. In today's ever changing economy, we require students who have initiative, who work well with others, who sift through enormous amount of information and who are problem solver. The knowledge of Mathematics is essential in developing such abilities. Since the declining of mathematical standards has been identified as one of the most important educational concerns, I am going to briefly present a new pedagogical approach for learning the mathematical concepts of Calculus. This approach includes a computer lab component and therefore I will be introducing the well known Mathematica software package as well. |
| The new pedagogical approach is named "The Calculus, Concepts, Computers and Cooperative Learning (C4L) program"(2) and it was developed at Purdue University under the constructivist theoretical perspective of how mathematics is learned. According to this theory, students need to construct their own understanding of mathematical concepts. Therefore, the traditional role of teaching to transfer mathematical knowledge by drilling and memorization is replaced by the new role of creating situations for the students to foster their mental constructions. In particular, the students perform computer activities, and through their observations and conversations with the teacher and other students learn the mathematical concepts. |
| I find this approach of learning mathematical concepts fascinating. The traditional classroom with the teacher lecturing to students, is replaced by the computer lab where students work either alone or in groups. The teacher is no longer the sole source of authority, he has become a facilitator and guide for the students' efforts. What is more important is that students have now equal access to the same mathematical knowledge, no matter the teacher or the school(3). |
| Apart from the above mentioned pedagogical approach to learning mathematics, many schools and universities(4) are now delivering courses where the software package Mathematica(5) is an integral and basic component of such courses. The University of Illinois is one of these universities and their courses(6) span Calculus, Differential Equations and Matrix Theory. The advantages of using this software are multiple, but first of all the software free the students from the drudgery of complex computations or manual drawing on two or three dimensional space. The students are not required to be on campus and can therefore study where they want. In addition, the students don't go through the boring mental processes of memorization and repetitive drilling, and as a consequence they acquire a better understanding of mathematical concepts. Further, the use of Mathematica enhances the creative capacities of the students and their problem solving abilities, in fact the students not only learn mathematical concepts but in interacting with the software they foster the conceptual abilities to apply symbolism, analogies, see relationships, and experiment in a real time environment. |
| I am very confident that the inclusion of a computer component to our mathematical courses would provide a more effective and enriching learning environment; therefore, I invite the Saskatchewan school boards and teachers to visualize seriously this opportunity. This change does not cost more money, it just requires a change of thinking as we meet the challenges and opportunities of the Knowledge Economy within a global village. |
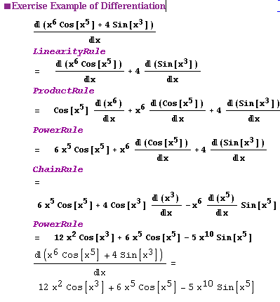
![]() Below, I provide the solutions to some mathematical problems solved in a matter of seconds after the related information was entered into the add on module Calculus WIZ(7) of Mathematica. Calculus WIZ includes templates related to mathematical topics; in doing his homework, the student would pick up the template related to the current problem and Calculus WIZ does all the computational and drawing work for you. Calculus WIZ is an enriching program and provides a new perspective to define and ![]() solve mathematical problems. In using Calculus WIZ, the students would also have time to reflect on the found solutions and opportunities to change parameters, variables, functions and see the related changes graphically and analytically in real time. |
|
|
|
|
|
|
| Endnotes: |
|
1. Thoughts on Education, Knowledge, Learning and the Internet, by Mario deSantis, January 23, 1999. Published in North Central Internet News 2. The Calculus, Concepts, Computers and Cooperative Learning (C4L) Project, Purdue University http://www.math.purdue.edu/~ccc/ 3. A useful resource for asking Math questions. A Math Forum Project Ask Dr. Math http://forum.swarthmore.edu/dr.math/drmath.high.html 4. A partial list of universities and schools using Mathematica http://www-cm.math.uiuc.edu/get/sites.html 5. Mathematica (For Students) is published by Wolfram Research http://www.wolfram.com 6. Courses of Calculus provided with Mathematica at the University of Illinois http://www-cm.math.uiuc.edu/courses/ 7. Calculus WIZ is published by Wolfram Research http://www.wolfram.com http://www.wizpower.com |